Química
Sintetizadas las primeras cadenas ultralargas de carbino
El carbono elemental se manifiesta en múltiples formas, algunas de ellas muy conocidas: diamante, grafito, grafeno, fullerenos, nanotubos y carbino. Dentro de estas, el carbino (una estructura de carbono perfectamente unidimensional) es el único que no había sido sintetizado hasta el momento, a pesar de haber sido investigado durante más de 50 años. Químicos orgánicos de todo el mundo han tratado de sintetizar cadenas de carbino cada vez más largas utilizando agentes estabilizadores, pero la de mayor longitud obtenida hasta el momento (en 2010) era de 44 átomos de carbono.
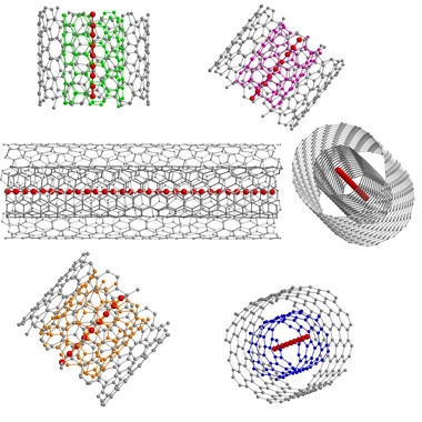
Un grupo de investigación de la Universidad de Viena (Austria), liderado por el profesor Thomas Pichler, ha presentado ahora una nueva y simple vía para estabilizar cadenas de carbono con una longitud record de más de 6.400 átomos de carbono. Así han mejorado el record anterior en más de dos órdenes de magnitud. Para ello, han utilizado el espacio confinado dentro de un nanotubo de carbono de pared doble, como nanoreactor, para hacer crecer cadenas de carbono ultralargas, que, además, confiere una gran estabilidad a las mismas. Esta estabilidad es de suma importancia para futuras aplicaciones.
Esta investigación internacional, en la que ha participado el Nano-Bio Spectroscopy Group de la Universidad del País Vasco (UPV/EHU) dirigido por el catedrático Ángel Rubio, en España, ha confirmado inequívocamente la existencia de estas cadenas mediante ensayos estructurales y ópticos. Los investigadores han presentado su estudio en la revista Nature Materials. "La prueba experimental directa de las cadenas de carbono ultralargas confinadas constituye un avance prometedor en el objetivo final de obtención de cadenas de carbono perfectamente lineales", dicen los autores.
![[Img #35192]](upload/img/periodico/img_35192.jpg)
Estudios teóricos muestran que tras hacer crecer estas cadenas lineales dentro de un nanotubo de carbono, el sistema híbrido resultante podría tener un carácter metálico debido a la transferencia de carga desde los nanotubos de carbono hacia la cadena, aunque tanto el nanotubo como la cadena son semiconductores en vacío. Por tanto, es posible controlar las propiedades electrónicas de este sistema híbrido, y el nuevo sistema podría ser muy importante en el campo de los nanodispositivos, además de su interés químico.
El carbino tiene unas propiedades mecánicas que no se pueden comparar con las de ningún otro material conocido, ya que supera incluso las de resistencia mecánica y flexibilidad del grafeno y del diamante. Además, sus características electrónicas sugieren nuevas aplicaciones nanoelectrónicas, como, por ejemplo, en el desarrollo de nuevos semiconductores magnéticos, baterías de alta densidad de carga o en el transporte de spin cuántico (spintrónica). Sin embargo, los investigadores apuntan que, para ello, se deberían extraer estas cadenas de carbono lineales ultralargas del nanotubo de pared doble que las contiene, y estabilizarlas en un medio líquido. (Fuente: Universidad del País Vasco/Euskal Herriko Unibertsitatea)



